noun Download 🔗Share The act or process of equating two or more things, or the state of those things being equal (that is, identical). Examples : "We need to bring the balance of power into equation" math science system theory ielts Chat with AIVocabulary GamePractice Reading
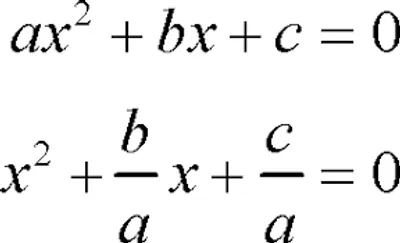
noun Download 🔗Share An assertion that two expressions are equal, expressed by writing the two expressions separated by an equal sign; from which one is to determine a particular quantity. Examples : "The equation for calculating the total cost of the groceries was: total cost = price of apples + price of oranges + price of bread. " math science technical logic ielts Chat with AIVocabulary GamePractice Reading
noun Download 🔗Share A small correction to observed values to remove the effects of systematic errors in an observation. Examples : "The scientist applied an equation to the measurements of the plant's growth to account for the consistent effect of sunlight. " technical math science physics ielts Chat with AIVocabulary GamePractice Reading