noun🔗Share규범, 표준That which is normal or typical."Unemployment is the norm in this part of the country."실업은 이 지역의 규범입니다.societycultureieltsChat with AIVocabulary GamePractice Reading
noun🔗Share규범, 기준A rule that is enforced by members of a community."Not eating your children is just one of those societal norms."자녀를 먹지 않는 것은 그러한 사회적 규범 중 하나일 뿐입니다.culturesocietypoliticsmoralattitudetraditionlawieltsChat with AIVocabulary GamePractice Reading
noun🔗Share규범, 표준A sentence with non-descriptive meaning, such as a command, permission or prohibition.""Quiet please" is a norm in the library. "도서관에서는 "조용히 해주세요"가 규범입니다.languagelinguisticslawphilosophygrammarieltsChat with AIVocabulary GamePractice Reading
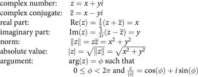
noun🔗Share노름A function, generally denoted v\mapsto\left|v\right| or v\mapsto\left|v\right|, that maps vectors to non-negative scalars and has the following properties:"The school's attendance policy is the norm for student behavior. "학교의 출석 정책은 학생 행동의 규범입니다.mathfunctionieltsChat with AIVocabulary GamePractice Reading
noun🔗Share체스 토너먼트의 기준, 성적A high level of performance in a chess tournament, several of which are required for a player to receive a title."Achieving a high norm in several chess tournaments is necessary for a player to earn a grandmaster title. "체스 토너먼트에서 높은 성적을 여러 번 달성하는 것은 선수가 그랜드마스터 타이틀을 얻는 데 필요합니다.achievementsporttitlegameieltsChat with AIVocabulary GamePractice Reading
verb🔗Share노름을 부여하다To endow (a vector space, etc) with a norm."The teacher normed the students' test scores to account for different levels of difficulty in the various sections. "교사는 다양한 섹션의 난이도를 고려하기 위해 학생들의 시험 점수에 노름을 부여했다.mathtechnicalieltsChat with AIVocabulary GamePractice Reading