noun Télécharger 🔗Partager Différencié Something that has been differentiated or stratified. Examples : "The differentiation in the school's curriculum allowed for students with different learning styles to succeed. " La différenciation dans le programme scolaire a permis aux élèves ayant des styles d'apprentissage différents de réussir. quality ielts Chat avec IAJeu de vocabulairePratiquer la lecture
verb Télécharger 🔗Partager Différencier, distinguer To show, or be the distinction between two things. Examples : "The color of their uniforms helps differentiate the students from different schools. " La couleur de leurs uniformes permet de différencier les élèves de différentes écoles. aspect quality science ielts Chat avec IAJeu de vocabulairePratiquer la lecture
verb Télécharger 🔗Partager Différencier, distinguer To perceive the difference between things; to discriminate. Examples : "The teacher asked the students to differentiate between a noun and a verb. " Le professeur a demandé aux élèves de différencier un nom et un verbe. mind ability human ielts Chat avec IAJeu de vocabulairePratiquer la lecture
verb Télécharger 🔗Partager Modifier, changer To modify, or be modified. Examples : "To differentiate the tasks, the teacher modified the homework assignment for students with different learning needs. " Pour modifier les tâches, le professeur a modifié les devoirs pour les élèves ayant des besoins d'apprentissage différents. type quality appearance ielts Chat avec IAJeu de vocabulairePratiquer la lecture
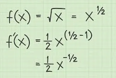
verb Télécharger 🔗Partager Dériver To calculate the derivative of a function. Examples : "In calculus class, students learn to differentiate functions to find their rate of change. " En cours de calcul, les étudiants apprennent à dériver des fonctions pour trouver leur taux de variation. math technical ielts Chat avec IAJeu de vocabulairePratiquer la lecture
verb Télécharger 🔗Partager Différencier To calculate the differential of a function of multiple variables. Examples : ""In calculus class, we learn to differentiate functions to find their rates of change." " En cours de calcul, nous apprenons à différencier les fonctions pour trouver leurs taux de variation. math technical science function ielts Chat avec IAJeu de vocabulairePratiquer la lecture
verb Télécharger 🔗Partager Différencier, produire des organes distincts To produce distinct organs or to achieve specific functions by a process of development called differentiation. Examples : "The fertilized egg differentiates into specialized cells, forming the different tissues of the body. " L'œuf fécondé se différencie en cellules spécialisées, formant les différents tissus du corps. biology physiology organism function process ielts Chat avec IAJeu de vocabulairePratiquer la lecture